Vistas:24563 Autor:Editor del sitio Hora de publicación: 2025-09-16 Origen:Sitio
En la industria de los recubrimientos de alto rendimiento, el recubrimiento poliaspártico , también conocido como poliurea poliaspártica , se ha convertido en una tecnología revolucionaria. Estos sistemas suelen constar de dos componentes (A y B). Si bien existen versiones de un solo componente, el estándar de oro industrial sigue siendo el sistema de dos componentes para una máxima durabilidad.

En este sistema, el componente A es la resina poliaspártica (conocida químicamente como éster poliaspártico ) y el componente B es el agente de curado de isocianato..
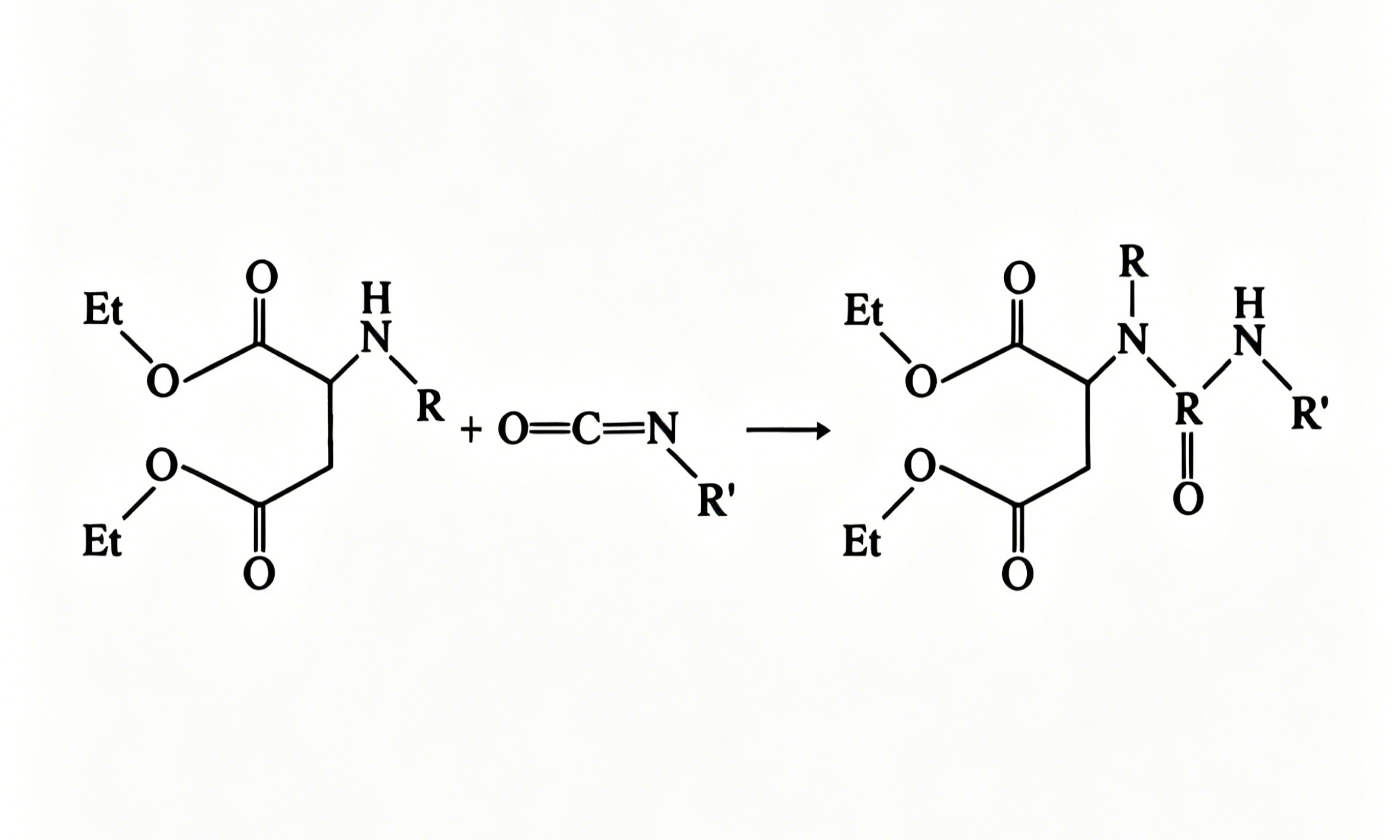
La resina poliaspártica funciona como extensor de cadena de amina secundaria alifática. Se sintetiza mediante una reacción de adición de Michael entre un maleato de dialquilo y una diamina primaria alifática. Este proceso transforma las aminas primarias en aminas secundarias.
La reactividad de las aminas secundarias es significativamente menor que la de las aminas primarias. En una molécula de éster poliaspártico, los dos grupos amino secundarios están protegidos por un entorno 'en forma de corona' de impedimento estérico y efectos de inducción electrónica.
Estos factores reducen drásticamente la velocidad de reacción entre la resina poliaspártica y los grupos -NCO en el componente isocianato. Esta reacción controlada es el secreto para proporcionar una 'vida útil' viable, lo que permite la aplicación manual con brocha o rodillo, una hazaña imposible con la poliurea en aerosol tradicional de fraguado rápido.

Síntesis de éster poliaspártico mediante adición de Michael
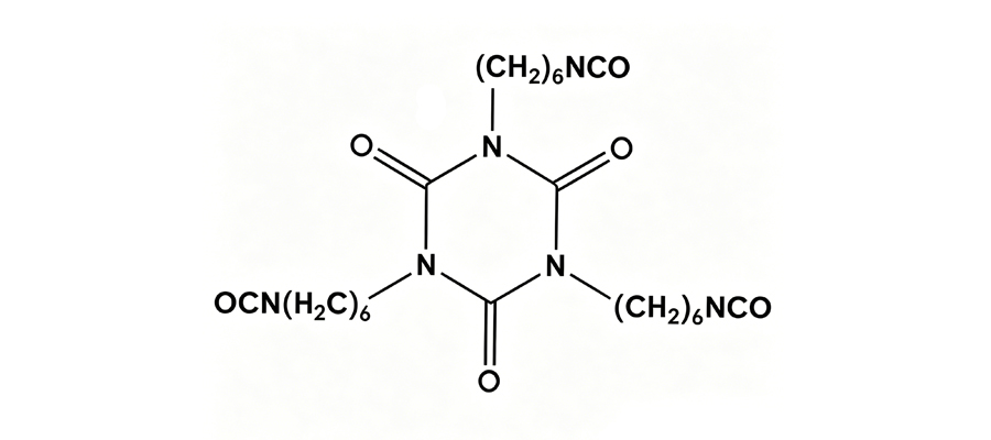
Para lograr resultados de alto rendimiento, los sistemas poliaspárticos utilizan agentes de curado como HDI Trimers , IPDI o prepolímeros HMDI . La serie HDI Trimer es especialmente valorada por su naturaleza alifática y su estructura de anillo de isocianurato estable, y ofrece:
Excepcional resistencia a la intemperie y a los rayos UV: la película curada ofrece resistencia a largo plazo al amarillamiento y mantiene un alto brillo incluso bajo radiación solar extrema.
Barrera física superior: Proporciona una excelente resistencia a productos químicos y disolventes, protegiendo eficazmente los sustratos de medios industriales agresivos.
Calidad estética: Con alta transparencia y bajo valor de color, los trímeros HDI son el componente central ideal para producir capas transparentes y acabados de alto brillo.

Estructura química del trímero HDI
A la hora de evaluar un recubrimiento para un proyecto, es fundamental comparar las métricas técnicas de un recubrimiento poliaspártico con las soluciones tradicionales :
| Característica | Poliurea poliaspártica (recubrimiento poliaspártico) | Poliuretano industrial (PU) | Poliurea en aerosol (estándar) |
| Contenido de sólidos | 70% - 100% (COV ultrabajo) | 45% - 70% (alto COV) | 100% (cero COV) |
| Curado/vida útil | Ajustable: 30 min - 2 h de vida útil; curación rápida. | Lento; vida útil > 4 h; tiempo de curación > 24h. | Instantáneo: gelifica en < 30 segundos; Requiere maquinaria de alta gama. |
| Adhesión | Excelente: Directo al metal (DTM); Acero >12 MPa. | Moderado; Requiere imprimación específica para la mayoría de superficies. | Variable; propenso a la delaminación si el sustrato no está perfectamente preparado. |
| Resistencia a los rayos UV | Extremo: QUV-A 4000h+ (No amarillea, color estable). | Moderado; Se desvanece/tiza después de 1000 h - 1500 h. | Pobres: La mayoría son aromáticos; amarillos y tizas en cuestión de semanas. |
| Construir eficiencia | Alto espesor: 150-500μm en 1 capa; listo para su uso en 4-6h. | Construcción baja: 50-100 μm; necesita varias capas/días. | Construcción alta: 1 mm+; pero la superficie suele tener una textura de 'piel de naranja'. |
| Borde mecánico | Dureza superficial (2H) y resistencia a la abrasión. | Flexibilidad, pero propenso a rayarse. | Elongación y resistencia al desgarro; pero menor dureza. |
No amarillea: Estabilidad duradera a los rayos UV para exposición al aire libre.
Insensible a la humedad: Puede aplicarse en ambientes húmedos sin burbujear.
Estabilidad del color: Excelente retención de pigmentos en el tiempo.
Curado rápido: Acorta drásticamente los ciclos de construcción.
Aplicación a baja temperatura: Mantiene el rendimiento de curado en climas fríos.
Alta adherencia: la poderosa fuerza de unión garantiza la integridad del sistema.
Respetuoso con el medio ambiente: Bajo olor y bajo COV para uso público e interior.
Protección integral: impermeable, a prueba de humedad y antimoho.
Superficie sin costuras: Elimina los rincones higiénicos muertos donde se acumula la suciedad.
Fácil mantenimiento: la superficie es fácil de limpiar y fregar con agentes estándar.
Acabado similar a la cerámica: estética de alto brillo con una sensación premium.
Dureza extrema: Alto alargamiento para adaptarse a la deformación del sustrato.
A pesar de su rendimiento superior, los compradores técnicos deberían considerar:
Costo inicial más alto: debido a las materias primas alifáticas de alta calidad, el precio unitario es más alto que el del epoxi o PU estándar. Sin embargo, el análisis del costo del ciclo de vida (LCCA) suele ser menor debido a la reducción del tiempo de inactividad y el mantenimiento.
Se requiere aplicación profesional: la velocidad de curado más rápida en comparación con el epoxi requiere un equipo capacitado para garantizar una mezcla y nivelación adecuadas.

Ya sea para impermeabilización de paredes exteriores, protección de puentes o pisos industriales, la tecnología poliaspártica ofrece un perfil de rendimiento 'todo en uno'.
Si está interesado en las propiedades químicas o aplicaciones específicas de nuestra resina poliaspártica , explore nuestro sitio exclusivo en rqbpolyaspartic.com.
Nuestro equipo técnico en Ruqinba Group está disponible para ayudar con la optimización de la formulación y la orientación de la construcción.
También ofrecemos muestras gratuitas para sus pruebas de rendimiento.
SUSCRÍBETE AL BOLETÍN