Vistas:3245 Autor:Ruqinba Hora de publicación: 2025-09-26 Origen:Sitio
Los tensioactivos no iónicos se refieren a tensioactivos que no se ionizan en solución acuosa. Sus grupos hidrofílicos están compuestos principalmente de grupos que contienen oxígeno (típicamente grupos éter e hidroxilo). La parte lipofílica de la molécula se deriva de alcoholes grasos más altos, alquilfenoles, ácidos grasos, aminas grasas y aceites, mientras que la solubilidad en el agua proviene de los grupos de éter de polioxietileno y grupos hidroxilo terminales dentro de la molécula.
Debido a que los tensioactivos no iónicos no se ionizan en el agua, exhiben varias ventajas sobre los tensioactivos iónicos. Por ejemplo, tienen una buena solubilidad tanto en el agua como en los solventes orgánicos, muestran alta estabilidad en la solución y están menos afectados por electrolitos fuertes, sales inorgánicas, ácidos y bases. También son altamente compatibles con otros tipos de tensioactivos, lo que los hace muy adecuados para la mezcla y la formulación.
La mayoría de los tensioactivos no iónicos existen en forma de líquido o pasta, y su solubilidad en el agua disminuye al aumentar la temperatura. Poseen una amplia gama de propiedades funcionales, que incluyen excelente detergencia, dispersión, emulsificación, espuma, humectación, solubilización, rendimiento antiestático, nivelación, inhibición de la corrosión, esterilización y efectos de coloides protectores. Como resultado, se usan ampliamente en textiles, fabricación de papel, alimentos, plásticos, cuero, pelaje, vidrio, petróleo, fibras químicas, farmacéuticos, pesticidas, recubrimientos, tintes, fertilizantes, películas, fotografía, trabajo metálico, procesamiento mineral, materiales de construcción, protección ambiental, cosmética, pelea por incendios, agricultura, agricultura y muchos otros fields.
Estos son compuestos de poliéter obtenidos mediante la condensación de óxido de etileno con alcoholes grasos de cadena larga, alquilfenoles o ésteres de poliol de ácidos grasos más altos.
Materias primas representativas:
Áters de polioxietileno de alcohol graso
Alquilphenol polioxietileno éteres
Ácido graso de poliol éster de polioxietileno
Ácidos grasos éster metílico etoxilatos
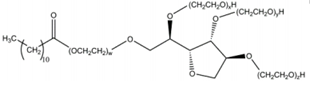
El alcohol graso de los éteres de polioxietileno (AEO), también conocido como alcohol grasos de polioxietileno, son el tipo de tensioactivos no iónicos de más rápido crecimiento y más utilizado. Esta clase de tensioactivos está formada por la condensación de polietilenglicol (PEG) con alcoholes grasos, y puede ser representada por la fórmula general:
Ro (ch ₂ ch ₂ o) ₙ h
donde n es el grado de polimerización. Existen diferentes variedades dependiendo del grado de polimerización de PEG y el tipo de alcohol graso utilizado.
Comercialmente, estos se venden bajo nombres comerciales como Brij . Por ejemplo, BRIJ 30 y otros productos Brij se obtienen condensando un número variable de unidades de óxido de etileno con alcohol laurílico, y se usan comúnmente como emulsionantes de tipo O/W.
Ejemplo:
Ceteareth-10 (nombre inci)
Alias: AEO-10
Nombre químico: alcohol cetearil polyoxietilen éter-10
Apariencia: White Waxy Solid
Solubilidad: insoluble en agua
Valor de HLB: 12.9
Fórmula estructural: n = 10

También conocido como TX u OP , el éter de alquilphenol polioxietileno muestra una buena solubilidad en el agua cuando N es mayor que 8. Los éteres de alquilphenol polioxietileno (APEOS) son una clase importante de tensioactivos noionicos de polioxietileno. Se caracterizan por propiedades estables, resistencia a ácidos y álcalis, y un costo relativamente bajo.
Los APEO se usan ampliamente en la producción de detergentes de alto rendimiento y han sido una de las materias primas más utilizadas para auxiliares textiles. Con frecuencia se agregan a los detergentes, agentes de fregado, aceites giratorios, agentes de ablandamiento, aceites de procesamiento de lana y agentes de limpieza de metales.
Ejemplo:
Nonoxynol-10 (nombre inci)
Alias: TX-10, nonilfenol polyoxietileno (10) éter
Apariencia: líquido transparente
Propiedades: Excelente humectación, emulsionante, dispersión, solubilización, espuma, desfoaming y funciones de detergencia
Valor de HLB: 13.3
Fórmula estructural:

Un representante típico de esta categoría son los ésteres de polioxietileno sorbitano (tween) , también conocido como polisorbatos . Son productos de condensación de Sorbitán (SPAN) y óxido de etileno. Debido a la presencia de múltiples grupos de polioxietileno hidrofílico en la molécula, estos tensioactivos exhiben una fuerte hidrofilia. Los tipos comunes incluyen T-20, T-21, T-40, T-60, T-61, T-65, T-80, T-81 y T-85.
Ejemplo:
Polysorbate 20 (nombre inci)
Alias: T-20, Tween 20, Poloxietileno (20) Sorbitan Monolaurate
Apariencia: líquido viscoso de color amarillo claro a amarillo a temperatura ambiente
Odor: olor característico leve
Solubilidad: soluble en agua, etanol, metanol y acetato de etilo; insoluble en aceite mineral y éter de petróleo
Funciones: emulsionante, disperante, solubilizante
Fórmula estructural:

El éster metílico de ácidos grasos (FMEE) se produce mediante la reacción de adición de ésteres metílicos de ácidos grasos con óxido de etileno en condiciones catalíticas. En comparación con los éteres de polioxietileno de ácidos grasos, el grupo éster en FMEE es más estable, particularmente que muestra una resistencia significativamente mejorada a los ácidos y álcalis.
La materia prima, el éster metílico de ácidos grasos, es en sí mismo un tipo de agente de desmantelamiento. Después de la etoxilación, FMEE conserva las características de baja foaming mientras ofrece un rendimiento mejorado. FMEE se usa principalmente como un detergente de alta eficiencia , con:
Espuma baja
Alto punto de nube
Excelente habilidad de limpieza
Propiedades dispersantes sobresalientes
Su fuerte dispersión es especialmente importante en las aplicaciones industriales. Con la tendencia continua hacia relaciones de baño más pequeñas en las operaciones de procesamiento, FMEE evita efectivamente que la suciedad en la solución de trabajo se aglomera en grupos y evite la redeposición en equipos o materiales procesados.
Fórmula estructural:

Los componentes principales se pueden representar como RCON (CH ₂ CH ₂ OH) ₂ . Son estables tanto en condiciones ácidas como alcalinas, con fuertes humectaciones y propiedades emulsionantes. Cuando se incorporan a los jabones, pueden mejorar la capacidad de espuma, la detergencia y la resistencia al agua dura. Las alcanolamidas son producidas por la condensación de ácidos grasos con monoetanolamina (MEA) o dietanolamina (DEA). Sus grupos hidrofílicos son los grupos amida e hidroxilo, mientras que el grupo hidrofóbico es el alquilo de cadena larga. Como tipo de tensioactivo no iónico, pueden funcionar como detergentes, agentes humectantes y emulsionantes.
En cosméticos, sus usos principales incluyen actuar como agentes de engrosamiento y estabilizadores de espuma.
Ejemplo:
Cocamide DEA (nombre inci)
Alias: ácido graso de coco dietanolamida, 6501, dietanolamina de cocamida
Apariencia: líquido viscoso incoloro
Solubilidad: soluble en agua
Propiedades: excelente espuma, estabilización de espuma y efectos antiestáticos
Según la especificación técnica de seguridad cosmética (edición 2015) en China, la DEA de Cocamide es una sustancia restringida con requisitos de calidad específicos:
No debe usarse junto con sistemas de nitrosación, para evitar la formación de nitrosamina.
Contenido de amina secundaria máxima en productos: 0.5%
Contenido máximo de nitrosamina en productos: 50 µg/kg
Contenido de amina secundaria máxima en la materia prima: 5%
Debe almacenarse en contenedores sin nitritos.
Fórmula estructural: (1: 1 Tipo de alquilamida DEA, donde R es ácido laurico)

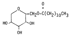
Los ésteres de ácidos grasos de poliol se obtienen mediante la esterificación de poliols con ácidos grasos. La parte hidrofóbica proviene de la larga cadena de carbono del ácido graso, mientras que la parte hidrofílica proviene de los grupos hidroxilo no esterificados. Esta categoría incluye ésteres de ácidos grasos de glicerol y ésteres de Sorbitan.
Los ésteres de ácidos grasos de glicerol se forman mediante la reacción de glicerol con ácidos grasos. Los tipos que actúan como tensioactivos son principalmente monoesteros y diestros , que se utilizan principalmente como emulsionantes. En general, se puede usar una mezcla de monoesteros y diestros de diestros, pero los productos con aproximadamente 90% de contenido monoéster también se pueden obtener a través de la destilación y la refinación.
Los ácidos grasos utilizados incluyen ácido esteárico, ácido palmítico, ácido mirístico, ácido oleico y ácido linoleico. En la mayoría de los casos, se emplean ácidos grasos mixtos con ácido esteárico como componente principal.
Ejemplo:
Estearate de gluceryl (nombre inci)
Alias: monostarato de glucerilo, éster de ácido esteárico de glicerilo
Apariencia: copos blancos
Solubilidad: insoluble en agua
Funciones: se usa principalmente como emulsionante, co-emulsionante y emoliente
Fórmula estructural:

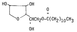
También conocido como ésteres de ácidos grasos de sorbitán , SPAN , o ésteres de ácidos grasos de anhidrosorbitol , estos compuestos se producen por la esterificación de sorbitán (sorbitol deshidratado) con varios ácidos grasos. La serie SPAN exhibe una solubilidad muy baja en el agua y, por lo tanto, se clasifica como tensioactivos lipofílicos.
En las formulaciones, a menudo se usan en combinación con tensioactivos de tween (polisorbato). La serie SPAN incluye S-20, S-40, S-60, S-65, S-80 y S-85. Están disponibles en una amplia gama de grados comerciales, con procesos de fabricación bien establecidos. Estos materiales demuestran propiedades emulsionantes y compatibilidad con otros tipos de tensioactivos.
Los tramos se aplican ampliamente en las industrias de alimentos, farmacéuticos, cosméticos y textiles , principalmente como compuestos solubles en petróleo, líquidos o ceros. Son particularmente adecuados como emulsionadores de agua en aceite (sin).
Ejemplo:
Sorbitan laurato (nombre inci)
Alias: S-20, Span 20, Sorbitan Monolaurate, Anhidrosorbitol Monolaurate
Funciones: sin emulsionante, estabilizador, dispersante
Fórmula estructural:
I,

II 、

III 、

Los ésteres de sacarosa se refieren a ésteres de ácidos grasos de sacarosa. La sacarosa (C₁₂h₂₂o₁₁) es un producto de condensación de una molécula de glucosa y una molécula de fructosa. Dado que la sacarosa contiene múltiples grupos hidroxilo libres, tiene una buena solubilidad en el agua y puede sufrir esterificación con ácidos grasos más altos.
Los ésteres de sacarosa son fácilmente biodegradables, absorbibles por el cuerpo humano, no tóxico y no irritante para la piel . Debido a estas propiedades, se usan ampliamente como emulsionantes y aditivos en alimentos y cosméticos. También pueden servir como ingredientes en los detergentes bajos de foaming, .
fórmula estructural:

Los óxidos de alquilamina son fácilmente solubles en agua y solventes orgánicos polares. Se clasifican como tensioactivos anfóticos catiónicos débiles : en solución acuosa se comportan como catiónicas en condiciones ácidas, y como no iónicas en condiciones alcalinas.
Poseen un excelente engrosamiento, antiestático, suavizado, espuma, estabilización de espuma y propiedades de detergencia . Además, exhiben actividad bactericida, capacidad de dispersión de jabón de calcio y buena biodegradabilidad , lo que hace que los tensioactivos ecológicos sean ampliamente utilizados en los productos de cuidado personal y personal.
En las formulaciones cosméticas, los óxidos de alquilamina también pueden servir como agentes de engrosamiento y estabilizadores de espuma.
Ejemplo:
Óxido de lauramina (nombre inci)
Alias: óxido de dodecildimetilamina, acondicionador OB-2, OA-12
Apariencia: líquido transparente sin color, amarillo pálido
Solubilidad: soluble en agua
Las n-alquilpirrolidonas exhiben propiedades similares a los óxidos de alquilamina. Estructuralmente, se clasifican como tensioactivos no iónicos , pero en medios ácidos la molécula sufre protonación, generando un grupo catiónico y, por lo tanto, muestra un comportamiento catiónico débil.
Se utilizan en productos para el cuidado del cabello como agentes de espesamiento, estabilizadores de espuma y agentes acondicionadores , y también pueden funcionar como solubilizantes para fragancias y otros componentes.
Ejemplo:
Lauril pirrolidona (nombre inci)
Alias: n-laurilpirrolidona
contenido está vacío!
SUSCRÍBETE AL BOLETÍN